西安西驰电气股份有限公司(证券代码831081),成立于2002年,是一家专业从事电力电子产品研发、制造、销售的高新技术企业。
了解更多
1、什么叫做电气接线图?怎样区分一次接线图和二次接线图?
答:按照国家颁布的有关电气技术标准,使用电气系统图形符号和文字符号表示电气装置中的各元件及其相互联系的工程图,称为电气接线图,又叫电气线路图。电气线路图按其在电力系统的作用,可分为一次接线图和二次接线图。
一次接线图 也叫主接线图,是表示电能输送和电能分配路线的电路图。与一次接线直接相连的电气设备,称为一次设备或一次元件。一次接线图一般用单线绘出,图中的设备位置都是无电压时的位置。
二次接线图 表明电路的控制、指示、监视、测量和保护电器正常,运行的接线图,称为二次接线图。与二次设备直接相连的电器,称为二次设备或二次元件。
2、什么叫磁感应定律?
答:当闭合电路的部分导体在作切割磁力线运动时,或者是穿过闭合电路内磁力线发生变化时,闭合电路就产生电动势和电流,这种现象叫电磁感应现象。电路中产生的电流叫感应电流,产生的电动势叫感应电动势。
3、什么是楞次定律?
答:感应电流产生的磁场总是阻止原磁场变化的。当线圈中的磁通要增加时,感应电流就产生一个磁场阻止它的增加;当线圈中的磁通要减小时,感应电流所产生的磁场也将阻止它减小,这个规律叫楞次定律。它是判断感应电动势或感应电流的方向的法则,判断的步骤是:首先判定原磁通的方向及其变化的趋势(即增加还是减少),然后根据感应电流的磁场方向与原磁通的变化方向永远相反的原则,来确定感应电流的磁场方向,利用右手螺旋定则判定感应电动势的方向。感应电动势的方向与感应电流的方向是一致的。
4、为什么只有同频率的正弦量才能用向量进行运算?
答:因为频率相同的正弦量之间的相位差,在任一瞬间都相同,所以可以用向量进行计算。如果正弦量的频率不同,那么他们之间就没有确定的相位差,所以无法用向量进行计算。
5、试说明电阻的色环标志?

6、如何利用万用表来判断二极管的电极和性能好坏?
答:用万用表测量二极管,一般用R×100或者R×1K档。将万用表的两个表笔分别去接触二极管的两极,若表指示的电阻较小(一般在几百欧至几千欧),则黑表笔所接的一端是二极管的正极,红表笔所接的一端是负极。然后将红、黑表笔对换过来进行测量,若此时测得的电阻值在几百千欧以上,则说明前面的判断是正确的,而且管子的单向导电性能也较好。两次测量的电阻差值越大,则说明二极管的单向导电性能越好。
7、怎样判断发光二极管的好坏及其极性?
答:发光二极管是一种把电能转换成光能的半导体器件(常用符号LED表示),当管子中通过合适的正向电流时,便以光的形式将能量释放出来,根据管子的材料及正向电流大小的不同,可发出不同颜色、不同强度的光。发光二极管具有体积小、颜色鲜艳、耐用、响应速度快等特点。发光二极管也具有单向导电性,用万用表R×1K档可测出正、反向电阻值,从而确定正、负极。一般正向电阻应小于50~80KΩ,反向电阻应大于400KΩ。如测出正、反向电阻均为零,说明二极管内部已击穿短路;如果测出正、反向电阻均为无穷大,说明二极管内部已开路。
根据发光二极管的外形也可以区分其正、负极,电极引线较长的是正极,电极引线较短的是负极。
8、如何用万用表识别晶体管的基极?如何区分NPN型和PNP性晶体管?
答:由于基极与集电极、发射极之间是两个PN结。他们的反向电阻很大,正向电阻很小,所以用万用表的电阻档测量,先假定一个管脚是基极。当用红表笔接此脚,黑表笔分别接另外两个管脚时,若所测得的两个电阻值都很大(或都很小);当用黑表笔接假设的基极,红表笔分别接其它两管脚时,若此时测的两个电阻值都很小(或都很大),则上述假定的基极是正确的。如测得的两个电阻一大一小,则说明原假设的基极不对,应另外再假设一个管脚,重复上述测量。
当红表笔的是基极时,黑表笔分别接触另外两个管脚,若表指示的两个电阻值都很小时,此管是PNP型;若表指示的两个电阻值都很大时,此管是NPN型。
9、什么叫电源?
答:能将其它形式的能量转换成电能的设备叫电源。如发电机、蓄电池和光电池等都是电源。它们分别把机械能、化学能和光能转换成电能。
10、什么叫电压?什么叫电流?什么叫电阻?它们的单位及代表符号是什么?
答:在电场中,将单位正电符由高电位移向低电位时,电场力所做的功称为电压,电压的单位是伏特,代表符号是V。
在电场力的作用下,自由电子或离子所发生的有规则的运动称为电流,电流的单为是安培,代表符号是A。
电流在导体内流动时所受的阻力叫电阻,电阻的单为是欧姆,代表符号是W。
11、什么是导体、绝缘体、半导体?并举例说明。
答:导电能力强的物质称为导体,例如:铜、铝等
几乎不能导电的物质称为绝缘体,如:橡胶、塑料、云母等
导电能力介于导体与绝缘体间的物质称为半导体,如:硅、锗、硒等
12、试述欧姆定律并用工式表示。
答:欧姆定律就是反映电路中电阻、电压与电流三者之间的关系的定律,电路中电流与这段电路上的电压成正比,与这段电路的电阻成反比。公式:I=U/R。
13、什么是电阻的串联?什么是电阻的并联?怎样计算它们的电阻值?
答:把电阻一个一个成串地连接起来,使电流只有一条通路,就叫电阻的串联,串联电阻总电阻值就是各分电阻阻值相加之和。
将各电阻的两端连接于共同的两点上称为电阻的并联。并联电路总电阻的倒数等于各支路电阻的倒数之和。
14、什么是电阻的复联?怎样计算复联电路的总电阻值?
答:在电路中电阻既有并联也有串联,这种电路叫做复联电路。计算复联电路总电阻的方法是,首先用串、并联公式分别求出单纯的串联和并联部分的等值电阻,然后再计算总电阻。
15、导线的电阻与导线长度、导线截面有什么关系?
答:导线电阻与导线长度成正比,与导线截面积成反比。
16、什么叫电阻率?电阻率的代表符号是什么?
答:电阻率也称电阻系数,是指某种长1m,截面为1mm2的导体,在温度为20℃时的电阻值。电阻率用字母r表示。
17、什么是电阻温度系数?导体电阻和温度有什么关系?
答:当温度每升高1°C时,导体电阻的增加值与原来电阻的比值叫做电阻温度系数。温度在100°C范围内变化时,金属导体的电阻随温度增加而增加。
18、什么是电导和电导率?
答:电导是衡量物体传导电流能力的物理量,其数值为电阻的倒数。电阻率的倒数称为电导率,它是衡量物体导电性能好坏的一个物理量。
19、什么叫正弦交流电路?
答:所谓正弦交流电路,是指含有正弦电源(激励)而且电路各部分所产生的电压和电流(响应)均按正弦规律变化的电路。
20、什么叫频率?什么叫周期?周期和频率的关系?
答:正弦量每秒内变化的次数称为频率f,它的单位是赫磁(HZ);正弦量变化一次所需的时间(秒)称为周期T;T=1/ f。
21、接正弦规律变化的交流电的三要素是什么?
答:最大值,角频率,初相角。
22、在纯电容单相交流电路中,电压,电流相位关系怎样?
答:电压滞后电流90度。
23、在纯电感单相交流电路中,电压,电流相位关系怎样?
答:电压超前电流90度。
24、正弦量的周期T频率f角频率ω之间有什么关系?
答:ω=2π/T=2πf
25、什么叫串联谐振?
答:在电阻元件R 电感元件L 电容元件C 串联的电路中,当电源电压与电路中的电流同相,这时电路中发生谐振现象,称串联谐振。
26、什么叫正弦电路的并联谐振?
答:在R L C 并联的电路中,当电源电压与电路中的电流同相,这时电路中发生谐振现象,称并联谐振。
27、什么叫对称三相电源?
答:三相电源一般是由3个同频率,等幅值和初相依次相差120度的正弦电压源按一定方式联接而成,这组电源称对称三相电源。
28、三相对称的星形联接中线值与相值有什么关系?
答:星形连接中,线电压是相电压的√3 倍,线电流等于相电流,线电压与相电压之间有30度的相位差。三角形连接中,线电压等于相电流,线电流是相电流的√3倍,线电流与对应相电流之间有30度的相位差。
29、三相对称负载的功率如何计算?
答:P=3UpIpcosφ
φ角是相电压Up与相电流Ip之间的相位差。
30、交流接触器有什么作用?简述交流接触器的结构和原理?
答:交流接触器常用来接通和断开电动机或其它设备的主电路,每小时可开闭好几百次。接触器主要由电磁铁和触点两部分组成。它是利用电磁铁的吸引力而动作的。
31、中间继电器有什么作用?
答:中间继电器通常用来传递信号和同时控制多个电路,也可直接用它来控制小量电动机或其它电气执行元件。
32、热继电器有什么作用?
答:热继电器是用来保护电动机使之免受长期过载的危害。
33、为什么说热继电器不能作短路保护用?
答:因为发生短路故时,我们要求电路立即断开,而热继电器由于热惯性是不能产即动作的,所以热继电器不能作短路保护。
34、熔断器有什么作用?
答:熔断器是简便的而且是有效的短路保护电器。线路在正常工作情况下,熔断器中的熔丝或熔片不应熔断,一旦发生短路或严重过载时,熔断器中的熔丝或熔片应立即熔断。
35、熔断器按结构通常分为哪三种?
答:通常分为管式熔断器、插式熔断器和螺旋式熔断器。
36、自动空气断路器有什么作用?
答:自动空气断路器也叫自动开关,是常用的一种低压保护电器,可实现短路,过载和失压保护。
37、怎样表示绝缘材料的绝缘性能好坏?什么叫做损耗角?
答:绝缘材料的绝缘性能好坏,一般用绝缘材料的电阻大小来表示。绝缘材料的绝缘电阻,是加于绝缘的直流电压与流经绝缘的电流(称泄漏电流)之比。
绝缘电阻分为体积电阻和表面电阻两种。前者是电流通过绝缘内部的电阻值,后者是电流通过绝缘体表面的电阻值。而绝缘的全电阻就是这两者之和。与此相对应的是绝缘材料的电阻率,电阻率也有体积电阻率和表面电阻率之分。
绝缘材料如果具有足够的绝缘电阻,就能够将泄漏电流限制在很小范围以内,能够防止漏电流造成的触电事故。绝缘电阻通常用兆欧表(也称摇表)来测量。
介质损耗角也可表征绝缘材料的绝缘性能好坏。它是超前电流和电压所构成的角度与90°角之比。良好的绝缘体中,电流超前电压90°,因此损耗角是零度。但一般绝缘材料不可能是绝对的绝缘体,总有或多或少的漏电流通过它。而损耗角就是用来度量这种不完美性。损耗角常用δ表示。
38、怎样判断电气线路和设备的绝缘电阻是否符合标准?
答:不同的线路和设备,对其绝缘电阻有不同的要求。一般来说,高压较低压要求高,新设备较老设备要求高,移动设备较固定设备要求高。以下几种主要线路和设备的绝缘电阻如果不低于所列值,则可判定它们的绝缘电阻符合标准:
新装或大修后的低压线路和设备,其绝缘电阻不低于0.5兆欧;运行中的线路和设备,平均每伏工作电压的绝缘电阻不低于1000欧(对于潮湿场所的线路和设备,允许降低为500欧)。
携带式电气设备的绝缘电阻不低于2兆欧。
配电盘二次线路的绝缘电阻不低于1兆欧(在潮湿环境允许降低为0.5兆欧)。
10千伏高压架空线路每个绝缘子的绝缘电阻不低于300兆欧;35千伏及以上者不低于500兆欧。
运行中的6~10千伏和35千伏电力电缆的绝缘电阻分别不低于400~1000兆欧和600~1500兆欧(干燥季节取较大值,潮湿季节取较小值)。
高压电气设备的吸收比大于1.3(从开始测量绝缘电阻算起,第60秒的绝缘电阻与第15秒的绝缘电阻之比,称为吸收比;吸收比越大,设备的绝缘性能越好)。
电力变压器的绝缘电阻不低于出厂时的75%,或不低于表中的所列值。
电力变压器的绝缘电阻 (兆欧)

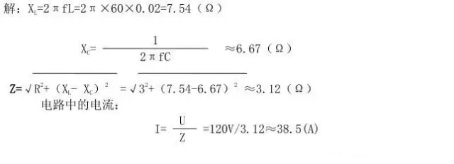
39、一个3Ω的电阻和20mH的电感线圈与400μF的电容串联,若电压与频率为120V,60Hz,求电路中的电流是多少?

40、已知一正弦电流,当t=0时的瞬时值i0=0.5A,并已知初相角为30°求其有效值是多少?

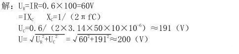
41、100Ω的电阻与10μF的电容串接到50Hz的交流电源电路中,当电流为0.6A/h,求电阻、电容两端的电压及外加电压各为多少?

42、如图所示的电路,已知I=10A,I1=6A,电阻R1=3Ω,R2=1Ω,R3=2Ω,求电流表A4和A5的读数。

43、一组星形负载,每相阻抗均为电阻8Ω及感抗6Ω,接于线电压380V的对称三相电源上,且设UAB的初相角为60°求各相电流。

44、电气人员怎样坚持文明生产?
答:在电气作业中,文明生产,是保持设备和线路正常运行,实现安全用电,防止发生人身和设备事故的可靠保证。因此,要求每个电气人员从工作态度到工作作风,从工作水平到工作效益,都符合文明建设需要,做到有条理、有秩序、认真负责地从事电气工作。具体的说,应做到以下几点:
①、完成工作要干净利落,查找故障要迅速及时,排除故障要完全彻底。
②、工作既要注意安全可靠,又要讲究整洁卫生,既要符合技术要求,又要厉行勤俭节约。
③、工作结束,要认真检查、整理和清扫现场。
④、电气工作室和值班室应保持清洁卫生,备品、备件和材料应按规定位置摆放,仪器、仪表和安全用具要妥为保管,定期检查,使其经常处于待用状态。
⑤、对电气设备应建立档案,定期进行检修并做好记录。
45、怎样掌握电器设备拆修和调整的一般原则?
答:通常,凡是大型电气设备(发电机、变压器、开关等)的拆修,都要做好拆修前的准备、拆卸修理和拆修后组装调整这三个阶段的工作。下面是这三个方面应该遵循的一般原则。
拆修前的准备:
①、准备好必需的图纸和技术资料。
②、判断待拆修设备的现状和达到正常工作状态的差距,以便制定检修方案。
③、从规格、品种和数量方面备足检修所需的零部件和材料。如果无法备齐,则不得拆修。
配备拆修所需的工具、量具和仪表。
④、备齐零星辅料(如绝缘油、汽油、润滑油、砂纸、导线、紧固件等)。
⑤、安排参加拆修工作的人员。
⑥、落实保证安全的组织措施和技术措施。
拆修注意事项:
①、边拆边核对图纸,凡与图纸不符者要做好详细记录。
②、记住组装顺序(作出标记),了解零部件之间的关系。
③、较复杂的设备,应按拆卸顺序排列放置拆下的零部件。
④、清洗和擦拭时要防止损坏零部件。
⑤、损坏的零部件应予以更换。
⑥、如果发现已损件,但无备件,则应采取补救措施,并作出详细记录;对有缺陷但可继续⑦、使用的零部件,也应作出记录。这两类不合格的零部件,在下次检修时应首先更换。
拆修后组装调整注意事项:
①、按与拆卸相反的顺序组装。
②、组装后要达到原定的质量标准和具备原有性能。
③、核对图纸资料,修改处要记录清楚。
④、对试验和调整的有关数据,要记录准确、清楚。
⑤、拆修用的工具、量具、仪表和辅料要逐项清理。
⑥、检修、安装完毕,须进行例行试验,只有试验合格才可投入运行。
⑦、拆修者与运行人员办理移交手续。(转载自筑龙网)
Copyright © 2019 西安西驰电气股份有限公司 保留所有版权